伟德BV官网
2022年硕士研究生调剂复试成绩公示
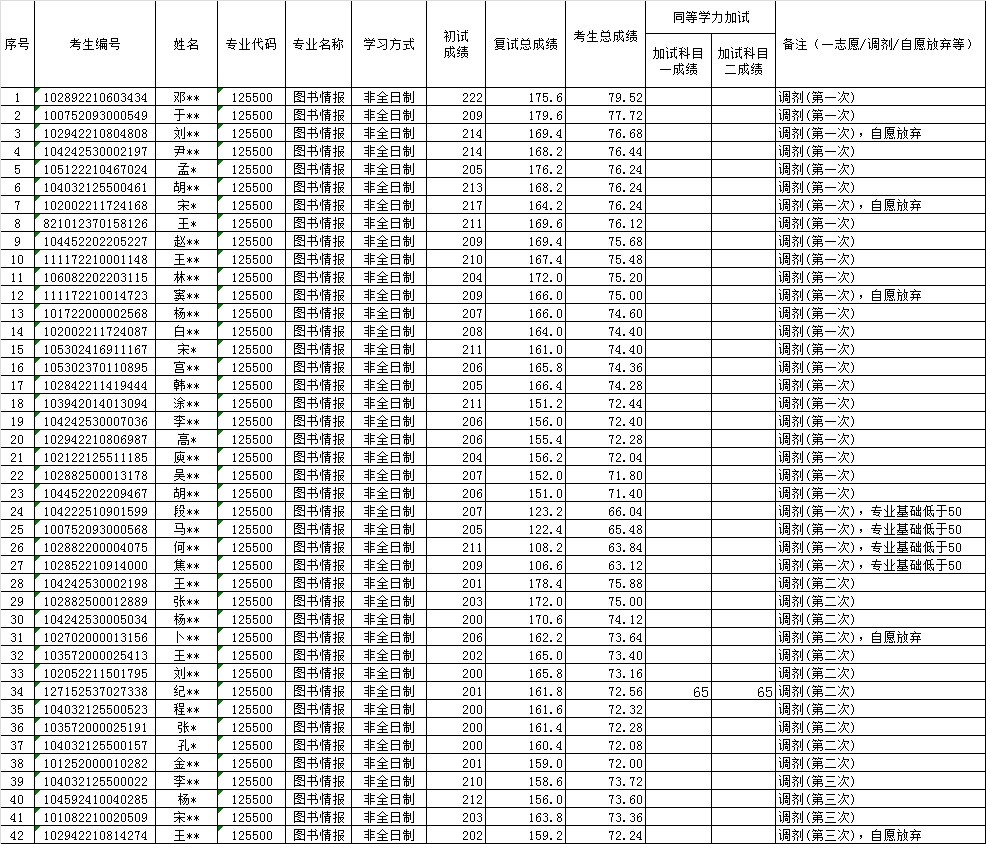
根据《伟德BV官网2022年硕士研究生复试录取工作方案》,现将硕士研究生调剂复试成绩予以公示。如有异议,请在公示期内反映。
公示期:10个工作日
接访电话:0532-86057126
伟德BV官网
2022年5月4日

相关新闻
03-19
2026
最近更新
173
1315
1048
1613
1788
2047